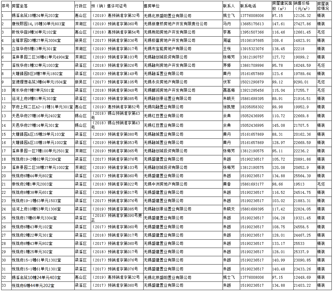
来捡漏,这里的房源平均低于同项目市价约2000元/㎡
于本月28日下午3点,在无锡市锡城公证处举行抽签摇号仪式,认购人无需到达现场。本月29日在无锡市锡城公证处网站、无锡房地产市场网(www.wxhouse.com)公布摇号结果以及摇号过程录像。
市房屋交易管理中心咨询电话:82722496
市锡城公证处咨询地址、电话(变更为):崇宁路19号204室 82715032或13921517594
在线登记入口:房源公示栏目
关于进一步加强商品房买卖合同网上备案管理的通知
各有关单位:
为进一步规范我市房地产市场秩序,遏制投机炒房行为,结合我市实际,现就进一步加强商品房买卖合同网上备案管理通知如下:
一、凡解除合同注销商品房买卖合同网上备案的商品住房房源,均须经无锡房地产市场网(www.wxhouse.com) (以下简称“市场网”)公示,并通过抽签摇号再行销售。销售价格可由开发企业自行确定,但不得超过原合同成交价格。下列情况除外(其中,1 和 2 两种情形不得超过 l 次):
1、购房人为原买受人直系亲属的;
2、买受人在同一项目中换购商品房的;
3、根据法院或仲裁机构生效法律文书解除合同的。
二、开发企业应当于每月 15 日上午 12 点之前,将注销房源信息报送市房屋交易管理中心(以下简称“交易中心”),并通过市场网公示房源信息,公示内容包括项目名称、房屋坐落、户型、面积、销售价格及开发企业联系方式。
三、认购人参与认购前须通过市场网进行在线登记并取得认购号码。取得认购号码后,认购人按照网上公示的信息与开发企业联系,达成购房意向的,需在当月 26 日上午 12 点前与开发企业签订《备案注销房源认购协议》,并缴纳认购保证金(人民币壹万元),取得抽签摇号登记证明。如放弃认购,需在当月 26 日上午 12 点前向开发企业提出书面申请,否则视同不放弃,中签后不能履约的,自行承担违约责任。每套房源,当月每人只能签一份认购协议。
四、开发企业须在每月 26 日下午 5 点前,将下列资料分别报送市交易中心和公证机构(逾期不再受理,相关数据一经递交不得修改,纸质材料均须加盖开发企业公章):
(一)递交市交易中心的资料
1、认购人纸质名单及 EXCEL 格式电子数据;
2、认购人身份证、户口本(包含本人、配偶及未成年子女)复印件(限购期间需填写购房人申明陈述书)。
(二)递交公证机构的资料:
1、开发企业营业执照复印件;
2、商品房预售许可证复印件;
3、开发企业授权委托书及代理人身份证复印件;
4、认购人纸质名单及 EXCEL 格式电子数据;
5、认购人缴纳保证金凭证复印件;
6、认购人身份证、户口本(包含本人、配偶及未成年子女)复印件(限购期间需填写购房人申明陈述书);
7、公证申请表及谈话笔录。
五、每月 28 日下午 3 点,在公证机构或市交易中心进行摇号活动,市交易中心人员、公证机构公证员、相关开发企业代表等在现场参与摇号,认购人无需到达现场。市交易中心人员主持摇号活动、宣布摇号规则及相关事宜,公证机构提供摇号器具,按网上公示房源合同注销先后顺序进行摇号,并当场公布摇号结果。摇号过程全程录像,当天在市场网或公证机构网站公布摇号过程录像以及摇号结果。只有 1 人认购的房源,经公证机构公证后,唯一认购人即为摇号中签人。公证费用按公证机构服务收费标准收取,由开发企业承担。
六、摇号中签人在签订商品房买卖合同时,合同中买受人必须与《备案注销房源认购协议》保持一致,不得变更、增减认购人,如摇号中签人无正当理由放弃认购,开发企业有权按照协议不退还认购保证金,被放弃认购的房源将被转为下月注销房源继续公示和参与抽签摇号,该中签人不得再次参与该套房源的认购。
七、开发企业在摇号活动结束 5 个工作日内,为中签认购人提供相关公证文书,在 10 个工作日内与中签认购人签订商品房买卖合同。中签者所缴纳的认购保证金转为购房款;未中签者所缴纳的认购保证金,开发企业应在 5 个工作日内一次性无息退还。若参加抽签摇号的房源当月无人认购,则由开发企业自行公开对外销售。
八、若同一开发项目申请合同备案注销房源超过全部准售房源的10%,房屋交易管理部门将向开发企业及其母公司发预警提示函,提醒其不得恶意炒房、哄抬房价;若申请合同备案注销房源超过全部准售房源的 20% ,房屋交易管理部门将对企业负责人进行约谈,通过市场网进行公开警示提醒。
九、开发企业不通过商品房合同网上备案系统与购房人网签合同的,一经发现将暂停其合同网签备案资格,责令整改,并视情节轻重,予以公开曝光。
十、本通知自 2016 年 11 月 1 日起实施。通知中规定的日期如遇法定节假日,则顺延至节假日后第一个工作日。
2016年10月25日
特别提示:认购必读
如您准备参加本期备案注销房源摇号活动,请认真阅读认购流程并注意如下事项:
1、认购人应充分了解无锡市区购房政策及贷款政策,确保具有购房资格。
2、在线登记截止日期为每月26日上午12点。
3、开发企业核验认购人信息时,认购人需向开发企业提供认购号码和信息密码。信息密码由认购人在线登记时自行设定。
4、认购人如放弃认购,需在当月26日上午12点前向开发企业提出书面申请,否则视同不放弃,中签后不能履约的,自行承担违约责任。
5、摇号中签人在签订商品房买卖合同时,合同中买受人必须与《备案注销房源认购协议》保持一致,不得变更、增减认购人,如摇号中签人无正当理由放弃认购,开发企业有权按照协议不退还认购保证金,该中签人不得再次参与该套房源的认购。
6、每套备案注销房源,当月每人只能签一份认购协议。
7、付款方式和比例由买卖双方先行约定,中签后双方应按约定办理相关手续。
8、公证费用按公证机构服务收费标准收取,由开发企业承担。
9、认购流程中规定的日期如遇法定节假日,则顺延至节假日后第一个工作日。
2020年5月合同注销房源备案公示

